Формула Кардано - методика определения корней кубического уравнения в поле комплексных чисел.
Впервые была опубликована в 1545 году итальянским математиком Джероламо Кардано.
Кубическое уравнение, выраженное в общем виде, как ах3+b х2+cx+d =0 в результате подстановки переменной:
приводится к виду неполного кубического уравнения, в котором не присутствует слагаемое, содержащее вторую степень: y3+b y +q=0,
где члены p и q приведены ниже:
Найдем Q:
Когда члены кубического уравнения вещественны, то и Q вещественное число, а по его знаку можно установить тип корней кубического уравнения.
Когда Q > 0 у кубического уравнения будет один вещественный корень и два сопряженных комплексных корня.
Когда Q = 0 у уравнения один однократный вещественный корень и один двукратный корень, или, в случае если p = q = 0, то получаем один трёхкратный вещественный корень.
Когда Q < 0 в кубическом уравнении будет три вещественных корня, но данный случай подробно не рассматривается.
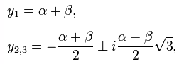
По формуле Кардано, корни кубического уравнения в канонической форме будут равны:
где
Дискриминант многочлена у 3+ py + q в этом случае будет равняться:
.
Используя формулы Кардано, для всех найденных значений нужно выбрать такое
, для которого осуществляется необходимое требование
(такое значение
всегда есть).
Когда искомое решение кубического уравнения вещественное число, то желательно отдавать преимущество вещественным значениям .
Разбор ЕГЭ 2013 по математике. Задание С1


