Понижение порядка дифференциальных уравнений (ДУ), не содержащих искомую функцию и производных до k–1 порядка, типа
.
Порядок ДУ
можно понизить до n–k при помощи замены переменных
. В результате замены имеем:
.
После подстановки полученных ответов в заданное уравнение получаем дифференциальное уравнение порядка n–k с неизвестной функцией p(x). После вычисления p(x), функцию y(x) можно вычислить из равенства
путем интегрирования k раз подряд.
Пример 1.
Необходимо найти общее решение дифференциального уравнения
.
Решение.
При помощи замены
порядок заданного дифференциального уравнения можно понизить с 4-го до 2-го:
,
и исходное однородное дифференциальное уравнение 4-го порядка приводится к ЛОДУ второго порядка с постоянными коэффициентами
.
Его характеристическим уравнением является
, а корнями этого характеристического уравнения оказываются
и
, тогда, общее решение дифференциального уравнения
принимает вид:
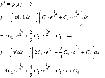
.
Проинтегрировав этот результат два раза, находим искомое общее решение ДУ четвертого порядка:

Ответ:
,
где С1, С2, С3 и С4 – произвольные постоянные.
Пример 2.
Нужно вычислить общее решение дифференциального уравнения 3-го порядка
.
Решение.
Допустим
, значит,
и исходное дифференциальное уравнение третьего порядка сводится к дифференциальному уравнению с разделяющимися переменными типа
.
Разделим переменные и проинтегрируем:

Потенцируем выведенное равенство и не забывая, что p(x)=0 тоже оказывается решением, получаем общее решение дифференциального уравнения
в виде
, где C – произвольная постоянная.
Т.к. была введена замена
, значит,
, тогда,
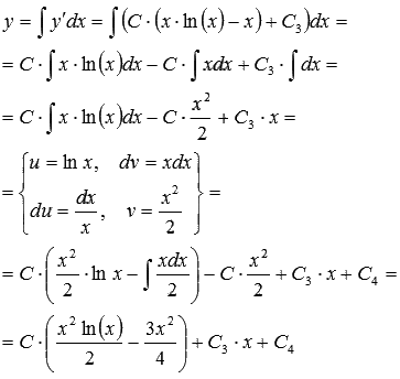
.
Используем методом интегрирования по частям:

Интегрируем повторно для получения общего решения исходного дифференциального уравнения 3-го порядка:

Ответ:
,
где С, С3 и С4 – произвольные постоянные.
Разбор ЕГЭ 2013 по математике. Задание С1


