Свойства определенного интеграла.
1.
,
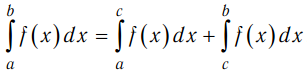
2. Если функция f(x) интегрируема на [a, b], то функция f(x) интегрируема и на отрезках [a, c], [c, b] (a - c - b) и
.
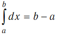
3. Если функция f(x) интегрируема на [a, b], то
.
4. Если функция f(x) интегрируема на [a, b], то и функция |f(x)| интегрируема на [a, b] и
.
5. Если функция f(x) интегрируема на [a, b], то и функция kf(x) (k = const) интегрируема на [a, b] и
.
6. Если функции f(x) и g(x) интегрируемы на [a, b], то и функции f(x) + g(x) и f(x) ⋅ g(x) интегрируемы на [a, b] и
.
7. Если функции f(x) и g(x) интегрируемы на [a, b] и f(x) . g(x) на [a, b], то
.
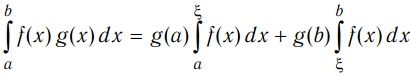
Первая теорема о среднем.
Если функции f(x) и g(x) интегрируемы на [a, b], m - f(x) - M и если g(x) не меняет знак на [a, b], то существует такое число µ∈ [m, M], что
.
Вторая теорема о среднем.
Если функция f(x) непрерывна, а g(x) монотонна и непрерывно дифференцируема на [a, b], то существует такое число ξ∈ [a, b], что
.
Формула Ньютона - Лейбница.
Если функция f(x) определена и непрерывна на [a, b] и F ′(x) = f(x), то
.
Формула замены переменной.
Если функция f(z) непрерывна на [a, b], а функция z = g(x) непрерывна и имеет непрерывную производную на [α; β]; a = g(α), b = g(β), a - g(x) - b, то
.
Интегрирование по частям.
Если функции f(x) и g(x) непрерывны на [a, b] вместе со своими первыми производными, то
.
Интегральное неравенство Минковского.
Если функции f(x) и g(x) интегрируемы на [a, b], 1 < p < +∞, то
.
Интегральное неравенство Гёльдера.
Если функции f(x) и g(x) интегрируемы на [a, b], 1 < p < +∞
, то
.
При p = q = 2 неравенство Гёльдера превращается в неравенство Коши.
Интеграл с переменным верхним пределом.
Если функция f(x) непрерывна на [a, b], то функция
непрерывна на [a, b].
Если функция f(x) интегрируема на [a, b] и непрерывна в точке x0b0 ∈ [a, b], то функция
дифференцируема в точке x0 и F ′(x0) = f(x0).
Полный список всех формул, шпаргалок для ЕГЭ по математике тут: ЕГЭ математика - формулы, шпаргалки.
Разбор ЕГЭ 2013 по математике. Задание С1


