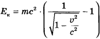
Полная энергия тела либо системы тел равняется релятивистской массе, умноженной на квадрат скорости света. Кинетическая энергия релятивистской частицы вычисляется при помощи выражения:
. (1)
Эйнштейном была установлена формула связи между энергией частицы, которая движется со скоростью v, и ее массой этой частицы:
,
Исходя из формулы (1), тело имеет энергию и при скорости, равной 0. Это является энергией покоя:
. (2)
Всякое тело уже лишь благодаря факту своего существования имеет энергию, пропорциональную массе покоя m.
Уравнение (2) является формулой Эйнштейна, первая из 2х великих формул физики (вторая - формула Планка).
В процессе превращения элементарных частиц, которые имееют массу покоя, в частицы, у которых m = 0, энергия покоя полностью переходит в кинетическую энергию новых частиц. Это оказывается самым очевидным экспериментальным доказательством существования энергии покоя.
При скоростях движения, которые намного меньше скорости света, выполняются классические представления о пространстве и времени и законы механики Ньютона. Это является проявлением общего принципа соответствия физических теорий.
Электромагнитные колебания


